【国际时事】Agnitron在氧化镓蚀刻方面表现突出
日期:2023-12-08阅读:1331

利用MOCVD反应腔将含镓有机分子引导到外延层上时,Ga2O3的蚀刻效果最佳。
随着快速发展,目前Ga2O3已经开始影响功率器件市场。由于从熔体中有机会制造出高质量的块状衬底,该类超宽禁带半导体可以以极具竞争力的成本实现器件的卓越性能。
在过去的十年中,该类功率器件的性能有了突飞猛进的发展。其中的关键突破包括制造击穿电压超过8 kV、击穿场强超过5 MV/cm的器件,其性能超出了SiC和GaN的理论极限。然而,Ga2O3基器件性能尚未达到接近理论的极限水平,其中部分原因是由于缺乏合适的、高度可控的、无损伤的蚀刻工艺。
可控的蚀刻和材料的去除是制造许多不同类型半导体器件的基本步骤。去除材料的能力与沉积材料的能力同等重要——这对互补的工艺能够将半导体材料塑造成严格定义的器件架构。
在蚀刻之前,许多器件的有源区往往受到电介质(例如SiOx或SiNx)的保护。Ga2O3基器件也是如此。然而,要找到一种避免影响器件性能或者不影响器件可靠性的无损伤蚀刻工艺并不容易。
许多β-Ga2O3基器件的制造过程中,采用了多种蚀刻工艺。其工艺包括干法蚀刻、湿法蚀刻、光化学蚀刻和金属辅助化学蚀刻。不幸的是,所有这些蚀刻形式都表现出局限性,例如产生表面损伤、倾斜侧壁以及沿着某些晶面的各向异性蚀刻。因此,这些方法都不适合生产高性能器件。
而更有前景的一种技术是在生长设备反应腔中采用基于蒸汽的原位蚀刻技术,例如采用MBE和MOCVD技术。就其本质而言,这种外延生长方法能够在不破坏真空的情况下进行蚀刻和重新生长外延层与电介质,从而产生更洁净的界面。由于MOCVD生长的β-Ga2O3外延层的质量最高,因此这种反应器是将生长和刻蚀工艺集成在一起的最佳选择。
Agnitron是β-Ga2O3外延层生长MOCVD反应器方面享有盛誉的领先供应商,其设备现已在许多世界一流的实验室安装使用。然而,可能不太为人所知的是,Agnitron反应腔可用于Ga2O3薄膜、衬底和相关合金的原位蚀刻。本文接下来将探讨利用含有镓和氯的金属有机源蚀刻β-Ga2O3。

考虑到客户的反馈,Agnitron对当前的紫外线曝光装置进行了重磅升级。目前该装置包含一个定向聚焦光管,可以在薄膜生长过程中将紫外线功率精确聚焦到特定晶圆上。在同一运行期间,这种增强的设置让薄膜能够在紫外线照射下紧邻未照射紫外线的晶圆生长。
采用MBE蚀刻
利用MOCVD生长Ga2O3会涉及镓和氧前驱体的反应,沉积速率通常由引入反应腔中的镓浓度决定。然而,当反应器缺乏活性氧时,镓前驱体将对蚀刻的衬底或外延膜的表面产生不同的作用。
对于MBE,这种蚀刻工艺是众所周知的。随着Ga2O3的生长,Ga2O3及其挥发性低氧化物Ga2O的形成会与其产生竞争——当较高的镓通量落在缺氧环境中的衬底上时,Ga2O3的生长速率会降低(实际发生的情况是材料从Ga2O3表面蚀刻,而不是在上面生长)。
当这些情况发生时,加上缺氧,会形成极易挥发的低氧化物Ga2O,Ga2O会从表面解吸而不是促进Ga2O3的生长。因此,采用标准MBE生长工艺来加快Ga2O3的生长速率是不切实际的。鉴于这种现象,许多研究人员转向采用金属镓在MBE反应腔中蚀刻Ga2O3的表面。据报道,这是一种低损伤蚀刻技术,其中镓与Ga2O3会发生反应。
采用MOCVD蚀刻
ASU的Nidhin Kalarickal团队在使用MBE反应腔对Ga2O3进行镓蚀刻方面拥有相关经验,我们与其合作研究了利用MOCVD技术蚀刻Ga2O3。在双方共同努力下,我们证明了在缺乏氧气的情况下,含镓金属有机前驱体,例如三乙基镓(TEGa),可以在MOCVD反应腔中对Ga2O3进行原位蚀刻。同样,蚀刻来自于镓与Ga2O3的反应,会产生挥发性的低氧化物Ga2O,但此工艺是始于TEGa的均相分解。当TEGa暴露在约350℃或更高的温度(来自衬底温度)下时,就会发生热解,在表面产生移动的镓吸附原子。热解过程中产生的稳定有机乙烯副产物通过废气从反应器中排出,与衬底表面的相互作用最小。
为了监测原位蚀刻速率,我们利用了β-Ga2O3薄膜和下面的蓝宝石衬底之间的显著折射率差异。通过在Agilis 100中安装工作波长为470 nm的光纤反射计来测量蚀刻速率。
考虑到客户的反馈,Agnitron对当前的紫外线曝光装置进行了重磅升级。目前该装置包含一个定向聚焦光管,可以在薄膜生长过程中将紫外线功率精确聚焦到特定晶圆上。在同一运行期间,这种增强的设置让薄膜能够在紫外线照射下紧邻未照射紫外线的晶圆生长。
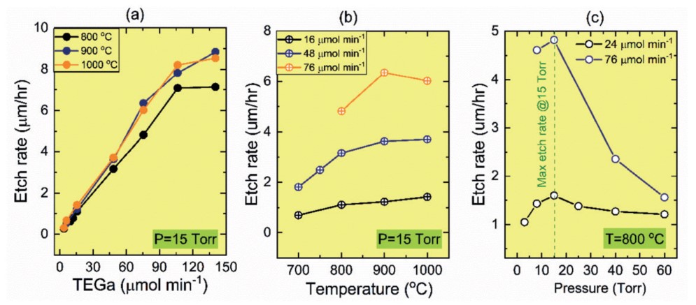
通过这种设置,我们研究了各种工艺条件对在c面蓝宝石上生长的 (201) 取向β-Ga2O3外延膜的蚀刻速率的影响。我们还特别研究了TEGa摩尔流速、衬底温度和腔室压强。这些实验表明,我们可以将蚀刻速率从大约0.3 μm/hr提高到9 μm/hr(见图2)。

图1. Agnitron MOCVD反应器,蓝色LED在2寸晶圆的中心发光(左)。(右)红色迹线是测量的反射率数据,蓝色迹线与预估蚀刻速率的反射率数据相符。预计蚀刻速率为9μm/hr。

图2. 蓝宝石上β-Ga2O3的蚀刻速率与蚀刻参数的关系。(a)在15 Torr的恒定压强和800、900°C和1000°C的衬底温度下蚀刻速率与TEGa摩尔流量的关系。(b)在15 Torr 的恒定压强和16 μmol/min、4 8μmol/min和 76 μmol/min的TEGa摩尔流速下,蚀刻速率与衬底温度的关系。(c)衬底温度为800°C、TEGa摩尔流量为24 μmol/min和76 μmol/min时,蚀刻速率与腔室压强的关系。
我们发现,对于低的TEGa摩尔流速(即低于100μmol/min),蚀刻速率随着流速的增加而线性增加(见图2(a))。然而,在较高的流速下,蚀刻速率在饱和之前仅略有增加。当蚀刻条件处于线性状态时,低氧化物反应速率高到足以消耗到达衬底表面所提供的所有镓吸附原子。因此,蚀刻速率受到所提供的TEGa摩尔流速的限制,从而得出了观察到的线性关系。相反,当供应的镓吸附原子的数量增加到超过低氧化物反应可以消耗的程度时,蚀刻速率将亚线性增加,之后达到饱和。
提高蚀刻速率的另一个影响因素是衬底温度。较高的温度会加速蚀刻速率,但也只能达到一定程度,超过900℃时会出现饱和。当发生饱和时,饱和时的蚀刻速率取决于TEGa摩尔流速(见图2(b))。当衬底温度低于800℃时,蚀刻速率会受到低氧化物反应速率的限制,而不是受到所提供的TEGa流量的限制。在这种情况下,衬底温度的升高会导致更高的蚀刻速率,并且衬底表面上会存在过量的镓。在较高温度下又是另一种情况,会导致所有提供的镓在低氧化反应中消耗。之后蚀刻速率受到所提供的TEGa流速的限制,导致蚀刻速率饱和。MOCVD反应腔内的压强也会影响蚀刻速率(见图2(c))。最大蚀刻速率发生在15Torr。

图3. (AlxGa1-x)2O3在蓝宝石上的蚀刻速率与铝组分的函数关系。蚀刻是在3 Torr压强、800°C衬底温度和24μmol/min TEGa摩尔流速下进行的。
此外,我们还使用TEGa蚀刻(AlxGa1-x)2O3。在这项特殊研究中,我们比较了Ga2O3、(Al0.11Ga0.89)2O3和(Al0.22Ga0.78)2O3薄膜的蚀刻速率,这些薄膜均通过MOCVD在c面蓝宝石衬底上生长。使用3.0 Torr的反应器压强、800℃的衬底温度和24 μmol/min的TEGa摩尔流速,我们确定Ga2O3的蚀刻速率约为1.0 μm/hr,而(Al0.11Ga0.89)2O3和(Al0.22Ga0.78)2O3的蚀刻速率仅分别为0.2 μm/hr和0.17 μm/hr。这些发现表明AlGaO是一种蚀刻终止剂,在这方面(Al0.11Ga0.89)2O3 与 (Al0.22Ga0.78)2O3一样好。
控制金属液滴
镓原位蚀刻的一个限制是会产生镓金属残留物,该残留物沉积在蚀刻表面。在MBE和MOCVD反应腔中蚀刻时存在的残留物必须在进行器件工艺步骤之前去除。
去除镓残留物的一个成功方法是用盐酸蚀刻样品表面。但由于只能在生长室外部进行,因此蚀刻表面会暴露在空气中,容易产生污染,从而损害器件性能。因此,用盐酸蚀刻是不切实际的,而这又是在MBE反应腔中蚀刻后的唯一选择。
通过MOCVD,还可以使用基于卤化物的金属有机前驱体原位去除镓滴。有一种我们已经验证的选择,涉及使用叔丁基氯(TBCl)。这种有机化合物还因GaN的原位和选择性区域蚀刻而闻名。当镓滴在蚀刻的Ga2O3上形成时,会转化为GaClx的挥发性衍生物,并释放出来,留下洁净的表面。在小流量的TBCl下可进行清洁,而在较高的流量下也可以进行蚀刻。
界面硅
困扰Ga2O3生长的一个问题是硅在薄膜和衬底之间的界面处的积累。无论是什么工艺条件、衬底中的掺杂剂以及是通过MBE还是MOCVD技术生长,都会产生硅。
界面硅被认为来自于衬底的硅基抛光制程,也可能来自于Ga2O3衬底暴露在空气中的环状硅氧烷。但无论其来源如何,它的存在都会损害器件性能。例如,在FET中,在薄膜/衬底界面处产生寄生导电沟道,防止器件夹断。
在装入生长腔之前,可以通过在浓氢氟酸中蚀刻Ga2O3衬底约30分钟来降低界面硅的浓度。这种方法并没有消除界面硅,而是降低了其浓度,导致其被受主杂质(镁或铁)部分补偿,受主杂质在外延膜生长过程中从半绝缘衬底扩散到界面中。近期,我们与加州大学圣塔芭芭拉分校的Krishnamoorthy团队合作,利用这项技术生产并公布了高性能、千伏级Ga2O3 MESFET,具有超过350 MW cm-2的创纪录功率值。
我们还研究了镓蚀刻是否可以去除界面硅。我们利用TEGa将Ga2O3衬底蚀刻至约300nm的深度,然后将表面暴露于TBCl来去除镓金属沉积物,之后生长约650nm厚度的非故意掺杂的β-Ga2O3层。在不破坏真空的情况下在同一个反应器中执行所有这些步骤后,我们用二次离子质谱(SIMS)仔细检查了样品,量化了非故意掺杂的外延层以及该薄膜与衬底之间界面的硅、碳、氢和氯的浓度(见图5(b))。SIMS的结果表明,非故意掺杂的外延层是洁净的,每种杂质的浓度都低于仪器的检测限。在界面处没有观察到碳和氯的结合,但氢的浓度略有增加,而硅的浓度不受影响。我们将后者的持久性归因于含有硅和氧原子的强共价键。

图4. 在进行Ga2O3/蓝宝石蚀刻时从外部通过透明石英管反应器拍摄的图像。晶圆表面的深色涂层(左)是由于金属镓沉积物造成的,右侧是去除金属镓沉积物后的晶圆表面。
我们可以得出结论,镓蚀刻适用于加工各种器件架构的尺寸以及重新生长欧姆接触和介电材料,例如SiO2和Al2O3。然而,这种去除界面硅的技术的前景是毋庸置疑的。

图5. 蚀刻的和再外延的样品(a),以及硅、碳、氢和氯杂质的二次离子质谱(SIMS)深度剖面(b)。
评估表面粗糙度
最重要是,当任何物质蚀刻薄膜或衬底时,都会留下光滑的表面。为了了解TEGa的情况是否如此,我们使用该前体对掺铁 (010) 和掺锡 (001) β-Ga2O3衬底进行毯式蚀刻,其深度为350nm。
根据原子力显微镜图,蚀刻后的粗糙度很低,并且光滑度随着衬底温度的增加而增加(见图6)。蚀刻后的均方根表面粗糙度的值约为3nm。此外,这种形式的显微图像还发现了平行细长的凹槽,在外延生长的β-Ga2O3薄膜的表面上也观察到这一点。
我们还使用扫描电子显微镜来检查蚀刻后的材料。除了采用该技术评估经过全面蚀刻的薄膜的形态外,我们还研究了蚀刻图案化SiO2硬掩膜形成的结构(见图6 (e)和6 (f))。
优化工艺条件,例如TEGa流速、衬底温度、压强和反应器的整体气流,可以进一步改善表面质量。此外,我们发现将TEGa蚀刻的表面暴露在TBCl中更长时间会导致表面粗糙度降低。我们在使用从同一衬底上切割的一对大约5 mm×5 mm的 (010) 铁掺杂β-Ga2O3片进行蚀刻实验时发现了这一点。对于仅在TEGa中蚀刻的样品,其表面粗糙度约为21nm,而在TEGa蚀刻的暴露于TBCl约20分钟的样品,其表面粗糙度约为8nm(见图6(g)和6(h))。我们将更光滑的表面归因于TBCl可有效去除镓滴,能温和蚀刻Ga2O3表面。
其他蚀刻剂
除了TEGa之外,我们还研究了用其他有机分子来蚀刻Ga2O3。此外,还研究了三甲基镓(TMGa),期望它能以与TEGa相同的方式蚀刻Ga2O3。然而,我们使用TMGa进行的初步蚀刻实验并未产生任何Ga2O3蚀刻的迹象。相反,将Ga2O3表面长时间暴露于TMGa还会导致表面形成黑色涂层。我们认为沉积的涂层是由甲基中的碳造成的,甲基是TMGa热解过程中的副产品,可阻止镓进入表面。涂层形成的真正本质机制尚不清楚。
我们已经证明TBCl可以去除TEGa蚀刻表面上的镓金属沉积物,也可以蚀刻Ga2O3。对于仅50 μmol/min的摩尔流速(用于去除镓金属沉积物的较低值),蚀刻速率太小而无法测量。但是,当该速率增加至少10倍时,可以观察到TBCl对Ga2O3的蚀刻,前提是蚀刻是在高衬底温度(超过800℃)下进行的。

图6. (a) 蚀刻的 (010) β-Ga2O3表面的原子力显微镜 (AFM) 图像,(b) 蚀刻的(001) β-Ga2O3表面的AFM,(c) 蚀刻的(010) β-Ga2O3表面扫描电子显微镜 (SEM) 图像,(d) 蚀刻的 (001) β-Ga2O3表面的SEM图像,(e)显示使用SiO2硬掩模进行图案蚀刻的Ga2O3 (010)样品的SEM图像,(f) 显示使用SiO2硬掩模进行图案蚀刻的Ga2O3 (001)样品的SEM图像(g)。没有在TBCl暴露,TEGa蚀刻(010) β-Ga2O3衬底的2D AFM图像(g)和在TBCl下暴露20分钟,TEGa蚀刻(010) β- Ga2O3衬底的2D AFM图像(h)。所有AFM图像均取自5 μm×5 μm的扫描区域。
Agnitron的评价
Shubhra Pasayat,威斯康星大学麦迪逊分校
“Agnitron独一无二的经验和先进的设备技术使其成为MOCVD系统的主要制造商之一,其产品涵盖广泛的材料系统,包括两用系统。他们在各种材料系统方面的卓越专业知识以及定制反应器设计可以满足特定用户的需求和要求,这引起了我的兴趣,因此我为自己的实验室选择了Agnitron MOCVD反应器。
我最近从Agnitron购买了一个两用GaN/Ga2O3 Agilis 100反应器,初始配置用于高温氮化物生长,也可以轻松转换为Ga2O3生长。非常期待设备的安装和启动。迄今为止的整个过程中,Agnitron提供的出色客户支持给我留下了深刻的印象。他们的团队反应迅速,能参与信息丰富的讨论并及时解决任何问题或疑问。这次好的经历进一步巩固了我对Agnitron的信心,相信他们是一家可靠、以客户为导向的公司。
未来,我准备扩建自己的实验室,打算添置另一台Agnitron MOCVD反应器,有可能是Agilis Mini。根据我目前的互动和经验,我特别推荐Agnitron作为满足任何MOCVD需求的理想合作伙伴。Agnitron对客户满意度的承诺,加上他们的专业知识和尖端技术,是当之无愧的行业首选。我相信他们的持续支持将为我的研究工作取得成功做出重大贡献。”
赵红平,俄亥俄州立大学
“很高兴为我在俄亥俄州立大学的研究购买的两个Agnitron MOCVD设备表达我的满意度。第一台设备是2017年交付的第一台双室GaN设备,第二个是2018年交付的Ga2O3设备。双室Agilis反应器是一种GaN设备,已用于开发基于II-IV-N2的GaN和新型氮化物半导体。该设备的性能和功能满足了我的期望。双室GaN设备已用于展示高质量GaN外延以及ZnGeN2、ZnSnN2及其异质结构和III-N合金的成功开发。Agnitron在不断创新,我们目前正在考虑升级该设备以进一步增强其实用性。
Ga2O3 MOCVD系统非常高效。Agnitron的Agilis 100是一个行业标准,非常感谢Agnitron对MOCVD系统的支持以及他们强大的技术团队提供的帮助。该设备让我们能够出色地完成工作,生产出世界一流的Ga2O3材料。
Agnitron对OSU的客户支持非常优秀。该团队反应灵敏、积极参与,并及时解决出现的疑问或问题。他们是可靠的合作伙伴,在需要时随时提供指导。根据我的经验,我很高兴选择Agnitron,很乐意将其推荐给其他研究人员。”

图7. 在25 Torr反应器压强和900°C衬底温度下使用TBCl监测Ga2O3/蓝宝石蚀刻的光谱反射率。在单次蚀刻实验中,TBCl流速从315 μmol/min到505 μmol/min、1026 μmol/min和1450 μmol/min变化,对分别对应标记层Etch #1、Etch#2、Etch#3和Etch #4。蚀刻速率在0.55 μm/hr和2.23 μm/hr之间变化。
我们使用光纤反射计来监测在TBCl蚀刻蓝宝石上生长的Ga2O3过程中的光谱反射率(见图7)。在本次研究中,我们在Agilis 100反应器中采用了25 Torr的反应腔压强和90℃的衬底温度。TBCl摩尔流速为31 5μmol/min、505 μmol/min、1026 μmol/min和 1450 μmol/min。随着流速增加,光谱反射振荡的周期减少,表明蚀刻速率增加。对于最高流量1450 μmol/min,其蚀刻速度超过2 μm/hr。这明显低于TEGa的最快蚀刻速率。TEGa是一种更有效的蚀刻剂,可以使用更少量的摩尔流量。
我们进行了许多与TEGa类似的实验。研究了在不同的反应器压强、不同的TBCl摩尔流量以及一系列衬底温度和氧气流量下暴露于TBCl的Ga2O3薄膜的蚀刻速率。重复基于TEGa 蚀刻的观察结果,我们发现存在快速蚀刻的最佳反应腔压强,在本例中为25 Torr(见图8(a))。对于恒定的压强和温度,蚀刻速率随着TBCl流量的增加而线性增加(见图8 (b))。
在较高温度下,TBCl对Ga2O3的蚀刻速率增加。对于较低的衬底温度,需要相当高的TBCl流量才能获得可测量的蚀刻速率。例如,在衬底温度为700℃时,我们必须使用超过1000 μmol/min的TBCl摩尔流量来观察蚀刻,即使如此,我们也只能实现0.15 μm/hr的速率(见图8(b)))。但当我们将温度提高到900℃时,相同的流量会将蚀刻速率提高到1.65 μm/hr。虽然有所提升,但仍然比TEGa的蚀刻速率慢得多,再次凸显了TBCl的低效率,特别是在低衬底温度下。我们还探讨了在TBCl蚀刻Ga2O3过程中引入氧气的影响(见图8(c))。但没有成功证明,蚀刻速率降低可能是由于Ga2O3在氧气环境中的重新沉积。
我们还将TBCl应用于生长在蓝宝石衬底上的(Al0.13Ga0.87)2O3的蚀刻。与TEGa蚀刻类似,Ga2O3基体中铝的存在降低了蚀刻速率,再次表明AlGaO可以用作TBCl的蚀刻终止剂。

图8. 使用TBCl蚀刻剂时,蓝宝石上β-Ga2O3的蚀刻速率与蚀刻参数的函数关系。(a) 衬底温度为800°C、TBCl摩尔流速为1450 μmol/min时,蚀刻速率与腔室压强的关系。(b) 在25 Torr恒定压强和700°C、800°C 、900°C衬底温度下蚀刻速率与TBCl摩尔流量的关系。(c) 在25 Torr恒定压强和1026 μmol/min的TBCl摩尔流速下,蚀刻速率与氧气流速的关系。
功率产品系列
为了实现刚才讨论的蚀刻结果,我们Agnitron的工作人员在化合物半导体领域汲取了15年的创新经验。虽然本文详细介绍的许多研究都涉及Agilis 100,但这些研究也可以在我们MOCVD产品系列中的其他平台上进行。
Agilis 100是我们最受欢迎的MOCVD/CVD系统,以其占地面积小和多功能性而闻名。除了β- Ga2O3之外,该系统对于其他各种实验来说也是一个非常好的选择。
Agilis 100将紫外和蓝色范围光学反射计集成到Imperium分析控制软件中,可提供生长速率和厚度的实时测量。另一个特点是在生长过程中可以选择紫外光曝光,通过减少残留碳和管理点缺陷来有效控制Ga2O3薄膜纯度。此外,Agilis100以及我们所有其他MOCVD/CVD系统——可在维护后两小时内实现气源和气体分配(喷头)配置之间的无缝切换。另一个功能是能够添加前体分配喷嘴,从而实现工艺改进或晶圆载体清洁,增加了我们设备各种应用的吸引力。
为了解决研发中晶圆的高成本和气体消耗问题,必须在单个大面积晶圆上进行生长。我们的β- Ga2O3 MOCVD/CVD反应器,特别是Agilis 500/700,现在可分别容纳直径达4寸和6寸的晶圆。这些较大的多晶圆反应器与Agilis 100占地面积相同,可以帮助希望通过匹配的生产线生长更大直径晶圆的研究人员。
我们大多数工具的核心是专有的垂直生长室,配有高速旋转盘式反应器,能够以每分钟超过1300转的速度运行。利用材料科学和设计工程,我们可最大限度地减少腔室内任何沉积物到达晶圆表面的机会。
我们的高速旋转圆盘反应器中独特的流动动力学可抑制颗粒再循环,从而使晶圆上方的区域保持清洁且无沉积。转盘反应腔高速旋转的另一个优点是它可以实现更高程度的控制,确保厚度分布均匀。
最近,我们向多所大学交付了Agilis Mini。今年初,我们在印第安纳州圣母大学安装了一台将用于研究量子计算的高纯度材料的设备。我们还向ASU运送了一台Agilis Mini,用于AlGaN/BN化合物的高温生长。这种特殊型号的吸引力在于,它具有与Agilis 100相同的性能和多功能性,但占地面积更小,价格实惠。
我们的产品阵容在不断扩大。很快我们将推出Agnitron GOX 300,这是一款全自动生产Ga2O3 MOCVD/CVD系统,可为更大的晶圆提供更多功能。此外,Agnitron很荣幸承诺将持续改进并提供客户支持,确保每台新一代Agnitron反应器都能为工艺工程师提供更可靠和多功能的体验。我们致力于与世界各地的研究人员和行业合作伙伴共同合作,不断突破半导体技术的界限。另一项重大进展计划于2023年第三季度推出,即第一个专为研究和开发目的而设计的MOCVD/CVD反应器,具有高温、低压金属有机前驱体输送的特点。这项突破性的创新进一步扩展了MOCVD/CVD技术的能力。最初,该功能将在Agnitron Agilis 100反应器上提供,使其成为第一个能够在高达200℃的温度下将前驱体输送到反应器中的反应腔。这一突破使研究人员能够通过MOCVD/CVD探索新的化合物和异质结构的生长,促进新型和改进器件的开发,以及研究作为潜在掺杂剂的新元素。
此外,我们很荣幸能为该类技术申请专利,该技术升级了喷头气体分配设计。该系统与我们的旋转盘反应器的快速旋转相结合,可实现外延层的优异厚度和掺杂均匀性。
我们多年来所达到的成功帮助我们在重要项目中发挥了关键作用。其中包括AFRL SBIR项目在内的成果,旨在开发大面积衬底上的Ga2O3生长。在这个项目中,我们计划使用Agnitron Agilis 700和GOX 300系统扩大Ga2O3外延结构的生长规模,从小型衬底到直径4寸及以上的衬底。
简而言之,Agnitron的硬件工程部门在不断改进设备,确保每台新一代Agnitron反应器能为工艺工程师提供更高的可靠性和多功能性。此外,我们还持续支持研究活动,例如本文中描述的蚀刻工作。通过支持和推动Ga2O3各方面的发展,我们在帮助该类超禁带氧化物的开发人员沿着从器件开发到商业化的道路竞速,开启高压功率电力电子的新时代。

