【会员论文】JAC丨厦门大学杨伟锋教授团队:界面氮掺杂技术实现低漏电和高开关电流比氧化镓肖特基势垒二极管
日期:2026-03-25阅读:174
由厦门大学杨伟锋教授的研究团队在国际学术期刊Journal of Alloys and Compounds发布了一篇名为 Low-Leakage and High On/Off Current Ratio Vertical β-Ga2O3 Schottky Barrier Diodes Induced by Interface Nitrogen Doping(基于界面氮掺杂的低漏电与高开关电流比垂直 β-Ga2O3 肖特基势垒二极管)的文章。
背 景
氧化镓(Ga2O3)作为第四代超宽禁带半导体,具有约 4.8 eV 带隙和约 8 MV/cm 的高临界击穿电场,在高压功率电子领域展现出显著优势。其中,肖特基势垒二极管(SBD)因其快速开关和低导通损耗,在高频、高效率电能转换系统中具有广阔应用前景。然而,目前 Ga2O3 SBD 器件性能仍与材料理论极限存在较大差距,其关键瓶颈在于界面质量问题尚未得到有效解决。一方面,Ga2O3 表面天然存在大量缺陷,如悬挂键和氧空位,这些缺陷会引入高密度界面态,导致费米能级钉扎,从而削弱肖特基势垒调控能力;另一方面,在器件制备过程中工艺可能会诱导损伤,诱发严重的陷阱辅助泄漏和电场局部集中,最终导致器件漏电流增大以及提前击穿。尽管已有包括等离子体处理、湿法化学处理以及热退火等多种界面优化方法,但这些技术往往伴随着新的问题,例如等离子体引入的二次晶格损伤、退火导致的导通电阻增加以及复杂的工艺流程等,使得器件性能提升受限。因此,如何发展一种既能有效钝化界面缺陷、又避免额外损伤、同时兼具工艺简洁性的界面调控策略,成为当前 Ga2O3 功率器件研究中的关键科学问题与技术瓶颈。
主要内容
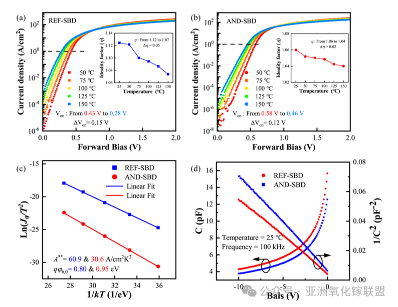
针对上述问题,本文提出并实现了一种基于原子氮掺杂的氧化镓肖特基界面优化策略,通过引入低能中性氮原子对器件表面进行修饰,从而在不引入额外损伤的前提下有效改善界面质量。实验结果表明,该方法显著提升了器件的综合电学性能:在反向偏压 -200 V条件下,漏电流密度由 10-4 A/cm2 大幅降低至 10-8 A/cm2,同时开关比由 106 提升至 1010,而比导通电阻仍保持在 4.2 mΩ·cm2,未出现性能劣化。界面氮掺杂后提取的肖特基势垒高度增加,这解释了更高的导通电压和更低的漏电流。飞行时间二次离子质谱结果显示处理表面 N 相关物种信号增强,而X射线光电子能谱结果证实了 Ga-O-N 化学键的形成及氧空位浓度降低。与此同时,界面态密度的显著降低缓解了费米能级钉扎效应,实现了有效的肖特基势垒高度调制。泄漏电流与击穿电压的同步改善归因于界面态减少、氧空位钝化及肖特基势垒高度调制的协同效应。这项工作展示了原子氮掺杂在超宽禁带半导体氧化镓功率器件中的应用潜力。
创新点
● 采用原子氮掺杂技术实现了 Ga2O3 界面的低损伤调控。
● 低能氮活性粒子避免了晶格损伤,并保持器件低导通电阻特性。
● 多种表征手段协同验证了氮掺杂效应及缺陷抑制机制。
结 论
本工作系统研究并验证了原子氮掺杂在 β-Ga2O3 肖特基界面调控中的有效性,结果表明,该方法能够在不引入额外损伤的前提下显著提升器件综合性能。通过电学测试可以观察到,经过处理的器件在保持低比导通电阻的同时,实现了反向漏电流的大幅抑制以及击穿电压的明显提升,体现出优异的整流特性与电学稳定性。进一步结合 ToF-SIMS 与 XPS 等材料表征手段分析发现,氮原子主要分布于器件表面纳米尺度区域,并通过形成稳定的 Ga-O-N 化学键有效钝化氧空位等本征缺陷,从而显著降低界面态密度。界面缺陷的减少不仅缓解了费米能级钉扎效应,还提高了肖特基势垒高度,使载流子输运更加接近理想的热发射机制,同时抑制了陷阱辅助导电过程。由此带来空间电荷区调制,进一步减弱了局部电场集中效应,提升了器件的抗击穿能力。可以看出,原子氮掺杂通过缺陷钝化、界面态抑制和势垒优化的协同作用,实现了漏电流、击穿电压与导通性能之间的综合平衡与同步提升。这项研究为 Ga2O3 功率器件界面工程提供了一种简单、高效且具有良好工艺兼容性的解决方案,对于推动器件性能向材料极限逼近具有重要意义。
项目支持
本研究得到了国家自然科学基金(62171396)、深圳市科技技术项目(JCYJ20240813145617023)的资助。

图1. a)REF-SBD与AND-SBD的结构示意图;b)β-Ga₂O₃中原子氮掺杂过程示意图。

图2.a)REF-SBD 与 AND-SBD 正向 I-V 特性的半对数曲线;b)正向 I-V 特性的线性坐标曲线及提取的比导通电-电压特性;c)高分辨反向 I-V 特性曲线;d)REF-SBD 与 AND-SBD 的击穿电压对比。

图3.a)REF-SB D在50℃至150℃范围内的温度相关正向 I-V 特性;b)AND-SBD 在50℃至150℃范围内的温度相关正向 I-V 特性(插图为理想因子随温度变化关系);c)对应的 Richardson 拟合曲线;d)SBD 的 C-V 特性及 1/C2-V 曲线。

图4.a)未处理样品中 CN⁻、GaO⁻、GaN⁻ 和 GaON⁻ 二次离子的TOF-SIMS 深度分布;b)处理后样品中对应二次离子的 TOF-SIMS 深度分布;c)未处理样品 GaON⁻ 离子的二维分布图;d)处理后样品 GaON⁻ 离子的二维分布图;e)未处理样品 GaON⁻ 离子的三维分布图;f)处理后样品 GaON⁻ 离子的三维分布图;g)未处理样品 GaO⁻ 离子的三维分布图;h)处理后样品 GaO⁻ 离子的三维分布图;i)未进行原子氮掺杂的 β-Ga₂O₃ 表面 O 1s XPS 谱;j)原子氮掺杂后的 β-Ga₂O₃ 表面 O 1s XPS 谱;k)未处理 β-Ga₂O₃ 界面的 AFM 形貌图;l)处理后 β-Ga₂O₃ 界面的 AFM 形貌图。

图5.a)REF-SBD 的频率相关 C-V 特性;b)AND-SBD 的频率相关 C-V 特性;c)REF-SBD 的频率相关 G/ω-V 特性;d)AND-SBD 的频率相关 G/ω-V 特性;e)Ni/Ga2O3 界面 τT 随偏压变化关系;f)界面态密度 DT 随能级 ET 的变化关系。

图6.a)未进行原子氮掺杂时 SBD 的能带结构示意图;b)原子氮掺杂后 SBD 的能带结构示意图。
DOI:
doi.org/10.1016/j.jallcom.2026.187143








