【国内论文】西安邮电大学陈海峰教授团队:氧化镓nMOSFET反相器的特性
日期:2026-03-25阅读:170
由西安邮电大学陈海峰教授团队在学术期刊 Journal of Semiconductors 发布了一篇名为Characteristics of gallium oxide nMOSFET inverter(氧化镓nMOSFET反相器的特性)的文章。
背 景
β-Ga2O3 作为典型的超宽禁带(UWBG)半导体,拥有约 4.8 eV 的禁带宽度和 8 MV/cm 的理论击穿场强,在高功率电子器件和日盲紫外探测领域具有显著优势。尽管氧化镓功率器件已取得长足进步,但其极低的热导率始终是制约器件性能稳定的难题。将氧化镓器件与高导热衬底集成是目前的主流方案。在互补逻辑电路(CMOS)中,通常需要 n 型和 p 型晶体管协同工作。然而,由于氧化镓价带能级深、空穴自陷效应强,目前仍无法实现有效的 p 型掺杂。这导致氧化镓基逻辑电路(如反相器)的开发主要依赖于全 n 型结构,如 E/D 模式(增强型/耗尽型)组合。为了实现氧化镓功率系统的单片集成,开发基本的逻辑门电路(如反相器)是不可或缺的一步。反相器不仅是逻辑运算的核心,也是构建复杂数字和模拟控制电路的基础。
主要内容
β-Ga2O3 MOS 反相器在 β-Ga2O3 电子电路中应发挥关键作用。基于原子层沉积技术生长的 β-Ga2O3 薄膜,成功制备了增强型(E-mode)MOSFET,并在此基础上进一步实现了 β-Ga2O3 反相器的单片集成。该 β-Ga2O3 nMOSFET 展现出优异的电学特性,导通/截止电流比高达 105。逻辑反相器在 1 至 400 Hz 低频工作条件下呈现卓越的电压反转特性。当频率持续提升至 10 K 时,因工艺引入的寄生电容导致反转特性恶化,且输出电压最高值与最低值之差呈现随频率呈指数衰减的关系。本文为基于 β-Ga2O3 的电路开发提供了实践范例。
创新点
•针对氧化镓 p 型掺杂缺失的痛点,该研究探索了优化 E-mode 和 D-mode MOSFET 阈值电压匹配的技术路径,实现了功能可靠的全 n 型逻辑集成。
•不仅完成了静态电压传输特性的表征,还针对氧化镓器件中常见的界面电荷陷阱问题,进行了动态开关实验,验证了其在低频逻辑切换中的实用性。
•文章通过调节栅极偏压和负载电阻特性,在反相器的输出摆幅与功耗之间寻求平衡,为氧化镓基集成电路的进一步规模化提供了参考数据。
总 结
本研究成功开发出具有优异开关特性的 β-Ga2O3 金属氧化物半导体场效应晶体管,其开关电流比高达 105。基于此,制备出全 E/E 模式 β-Ga2O3 MOSFET 逆变电路。实验结果表明,该逆变器在低频工作条件下展现出卓越的电压转换效率。当工作频率超过千赫兹范围时,输出信号幅值出现显著衰减。氧化镓 MOSFET 及其电路的优异性能在电力电子应用中展现出巨大潜力。本文实现的单芯片集成 E/E 型 β-Ga2O3 MOSFET 及其逻辑应用成果,为构建稳定电路奠定了基础。
项目支持
本研究得到陕西省自然科学基础研究专项基金(2023-JC-YB-574)和国家自然科学基金(62304178)的支持。

图1. (a) 生长 β-Ga2O3 的 X 射线衍射图谱;(b) 金属氧化物半导体场效应晶体管结构示意图;(c) β-Ga2O3 逆变器结构示意图;(d) 制备的 β-Ga2O3 逆变器图像。

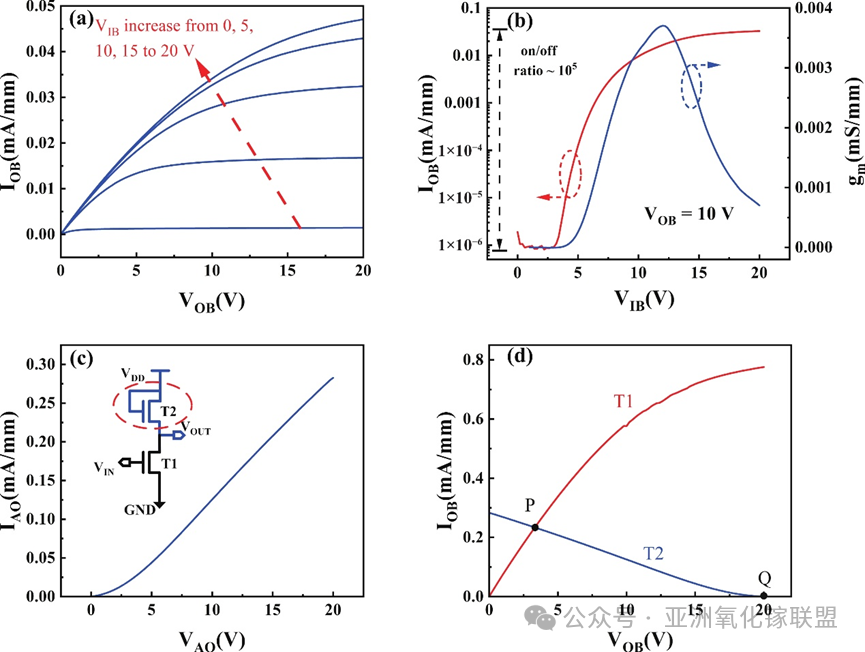
图2. (a) T1的输出特性;(b) T1的传输特性及其gm值;(c) T2的I-V特性;(d) 逆变器工作特性。

图3. (a) 逆变器电路在低输入与高输入条件下的工作状态。实验测得的 VOUT-T 曲线对应 50 Hz 输入方波信号;(b) 测试电路原理图;(c) β-Ga2O3 MOSFET 逆变器及测试平台实物照片。

图4. (a) 逆变器在低频下的时域响应;(b) 逆变器在 100 Hz 时的上升时间与下降时间;(c) 逆变器在高频下的时域响应;(d) 电压差衰减特性。
DOI:
doi.org/10.1088/1674-4926/25040011








