【国际论文】顶刊SAB报道!托木斯克国立大学对于基于热退火κ-Ga₂O₃ 外延膜制备的β-Ga₂O₃微晶λ探针氧传感器的研究
日期:2025-09-26阅读:389
由俄罗斯托木斯克国立大学的研究团队在学术期刊 Sensors and Actuators: B Chemical 发布了一篇名为 O2 sensors for λ-probe based on β-Ga2O3 microcrystals fabricated from к-Ga2O3 epitaxial film by thermal annealing(基于热退火 κ-Ga2O3 外延膜制备的 β-Ga2O3 微晶 λ 探针氧传感器)的文章。
期刊介绍
《Sensors and Actuators: B Chemical》主要聚焦化学传感器、气体/液体传感技术及相关器件的研究与应用。它涵盖从材料设计、器件制备、信号处理到系统集成等全流程,尤其重视创新传感材料、纳米结构功能化以及高性能传感器的实际应用。该期刊在化学与材料科学领域的影响力极高,在传感器类/化学工程类中长期位居一区(Q1),是该领域内最具权威性和前沿性的Top期刊之一。
作者介绍

Aleksei V. Almaev,本文第一作者,托木斯克国立大学微电子先进技术研发中心金属氧化物半导体实验室的负责人。于 2018 年获得物理数学科学博士学位。于金属氧化物、相关器件和功能涂层领域进行研究。在过去 5 年里,他在国际和国内同行评审期刊及会议上发表了 40 多篇科学论文。
文章介绍
λ 探针用于分析内燃机中燃烧气体混合物的成分。研究表明,仅需测量混合气体中的 O2 浓度即可实现对 λ 的控制。许多研究团队已开发出基于半导体金属氧化物的传感器,用于测量排气混合物中的 O2 浓度。用于 λ 探针的 SMO 基传感器必须满足 λ 探针工作的要求,即在 600–900 °C 的高温下运行,并能适应排气混合物成分的影响。
单斜相 β-Ga2O3 由于其高灵敏度和高稳定性,是制备高温 O2 传感器的极具吸引力的材料。相比之下,其他 Ga2O3 多晶型薄膜的亚稳态导致其气敏特性研究几乎缺乏实际应用价值。研究者此前已表明,通过卤化物气相外延(HVPE)方法生长的厚度为 500 nm 的纯 κ-Ga2O3 薄膜具有发达的表面形貌,并表现出对包括 O2 在内的多种气体的灵敏性。然而,其工作温度较低(400–550 °C),且对 O2 的响应较弱,因此 κ-Ga2O3 薄膜尚不足以作为 λ 探针的敏感元件。同时,研究者先前研究结果表明,形成至少包含两种多晶型的异质多晶结构是增强 Ga2O3 亚稳态多晶型气敏性能的有效途径。可以得出结论,形成异质多晶型结构的方法之一是在一种多晶型物向另一种多晶型物转变尚未完成的条件下对 Ga2O3 亚稳态多晶型物进行退火处理。
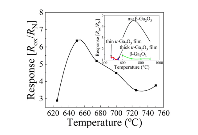
在本研究中,详细探讨了通过在 GaN/Al2O3 衬底上生长的 κ-Ga2O3 厚膜经 1000 °C 退火获得的 β-Ga2O3 微晶的气敏特性。实验表明,在空气气氛中 1000 °C 退火 30 分钟后,κ-Ga2O3/GaN 异质结构中自发形成了 β-Ga2O3 微晶。这些横向尺寸为 4–12 µm 的 β-Ga2O3 微晶相较于外延 κ-Ga2O3 和 β-Ga2O3 薄膜表现出更高的电导率和气体响应。在 650 °C 下,β-Ga2O3 微晶对 5 vol.% O2 的响应值达到 11.33。其气敏特性在循环 O2 暴露下变化较小,并且在 8–70% 相对湿度范围内稳定,但对外加电压极性较为敏感。此外,样品还对 NO 和 CO2 表现出较高响应,在 650 °C 下对 1 ppm NO 和 1 vol.% CO2 的响应值分别为 1.7 和 10.4。在该温度下,氧以 O2⁻ 的形式吸附在 β-Ga2O3 微晶表面,导致半导体表面形成一个载流子耗尽层,从而增加了其电阻。上述效应表明 β-Ga2O3 微晶作为 λ 探针的敏感元件具有潜在应用前景。实验还表明,β-Ga2O3 微晶能够对模拟废气中 λ = 1 条件下 O2 浓度的变化作出响应。进一步分析表明,高温退火引起的结构和相变是 β-Ga2O3 微晶对 O2 高灵敏度的关键因素。

图 1. Ga2O3/GaN/Al2O3 异质外延结构在退火后沉积 Pt 电极的光学图像:(a)Pt 电极;(b)多晶 β-Ga2O3。

图 2. 由 HVPE 在 630℃ 下生长的 Ga2O3/GaN/Al2O3 异质外延结构的 XRD 图谱:原始样品(蓝色曲线);在空气中 1000℃ 退火 30 min 后的样品(红色曲线)。

图 3. (a) 原始生长的 κ-Ga2O3 薄膜的 SEM 俯视图;(b) 退火 κ-Ga2O3 薄膜所得的多晶 β-Ga2O3,包含自由表面区域与覆盖 Pt 电极区域;(c) 自由表面区域的放大图像;(d) Pt 电极区域的放大图像。

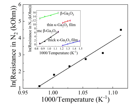
图 4. 多晶 β-Ga2O3 在 T = 625–750℃ 范围内的 ln(RN) 与绝对温度倒数的关系,以及多晶 β-Ga2O3、厚 κ-Ga2O3、β-Ga2O3 和薄 κ-Ga2O3 薄膜在更宽温度范围内的对比关系(插图)。

图 5. 多晶 β-Ga2O3 在 T = 625–750℃ 范围内对 5 vol% O2 的响应的温度依赖性,以及多晶 β-Ga2O3、厚 κ-Ga2O3、β-Ga2O3 和薄 κ-Ga2O3 薄膜在更宽温度范围内的对比结果(插图)。

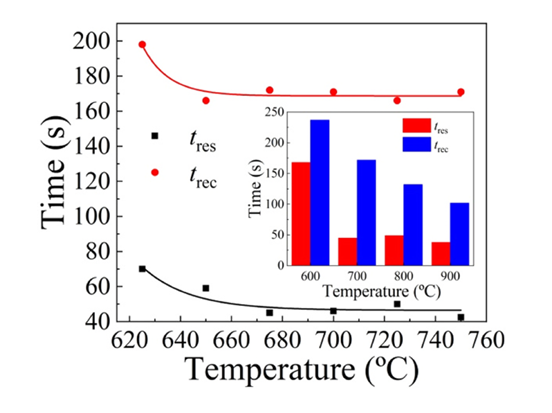
图 6. 多晶 β-Ga2O3 在 5 vol% O2 条件下的响应与恢复时间随温度的变化:T = 625–750℃ 范围及 T = 600–900℃ 范围(插图)。

图 7. (a) 多晶 β-Ga2O3 在 T = 650℃ 下,循环暴露于 5 vol% O2 时的电阻随时间变化;(b) 基线电阻、在 N2+O2 混合气氛下的电阻及响应值的变化情况。

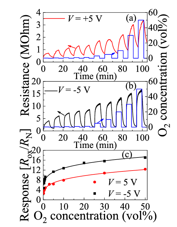
图 8. 多晶 β-Ga2O3 在 T = 650℃ 下暴露于不同 O2 浓度时的电阻随时间变化:(a)V = +5 V;(b)V = –5 V;(c)响应值随 O2 浓度的变化关系。

图 9. 相对湿度对多晶 β-Ga2O3 在 T = 650℃ 下对 5 vol% O2 的电阻及响应的影响。

图 10. 多晶 β-Ga2O3 在 T = 650℃ 下对 (a) CO2、(b) CO、(c) NO 和 (d) CH4 浓度的响应。
DOI:
doi.org/10.1016/j.snb.2025.138355











