【国际论文】俄罗斯托木斯克国立研究大学:掺锌 PECVD 纳米晶 Ga₂O₃ 薄膜的气体敏感特性
日期:2025-09-25阅读:409
由俄罗斯托木斯克国立研究大学的研究团队在学术期刊 Results in Surfaces and Interfaces 发布了一篇名为 Gas-sensitive properties of PECVD nanocrystalline Ga2O3 thin films doped with Zn(掺锌 PECVD 纳米晶 Ga2O3 薄膜的气体敏感特性)的文章。
项目支持
氧化镓(Ga2O3)因其优异的基本性质而受到广泛关注,被视为电力电子和传感器领域的有前景材料,其性能甚至超过了成熟的SiC和GaN。基于Ga2O3 的气体传感器在宽温度范围(室温至1000 °C)内对多种气体具有高灵敏度,同时表现出优异的化学和热稳定性。然而,纯 β-Ga2O3 薄膜对气体的响应较弱,因此通常需要引入其他半导体掺杂以增强气敏性能,例如 SnO2、In2O3 或 ZnO。ZnO 作为气体传感器的常用材料,具有高化学与热稳定性,可作为其他金属氧化物的改性剂以提高其气敏性能。 已有研究显示,掺杂 Ga 的 ZnO 薄膜对气体响应较高,而关于 Zn 掺杂 Ga2O3(ZGO)的研究相对较少,仅有少量文献表明 ZGO 在 400–500 °C 下对 100 ppm O2 具有高响应度。气敏金属氧化物薄膜通常为多晶结构,其晶粒直径对气敏性能有显著影响,晶粒尺寸在10–100 nm的纳米晶薄膜对气体表现出高灵敏度。因此,纳米晶 Zn 掺杂 Ga2O3(nc-ZGO)薄膜是构建高性能气敏传感器的有前景选择。本研究利用 PECVD 制备了 nc-ZGO 薄膜,并首次系统研究其气敏特性,为开发高性能气体传感器提供实验基础。
主要内容
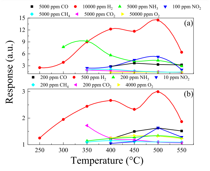
通过等离子增强化学气相沉积(PECVD)方法合成了锌掺杂的纳米晶 Ga2O3 薄膜(nc-ZGO),并对其气敏性能进行了全面研究。实验结果表明,该薄膜在暴露于工业相关气体(如 CO、H2、NH3 和 NO2)时表现出高响应和快速响应特性。其中,对 H2 的响应最为显著。在最大响应温度 500 °C 下,对 500 ppm 和 104 ppm H2 的响应分别为 2.99 a.u. 和 24.5 a.u.,且响应与恢复时间之和不超过 27.4 秒。nc-ZGO 薄膜在长期暴露于 CO、H2 和 NO2 的条件下,其气敏特性漂移较小,同时对相对湿度在 10–50% 范围内的变化依赖性也较弱。在现有理论框架下,本文提出了 nc-ZGO 薄膜的气敏机理。
研究亮点
● 通过等离子体增强化学气相沉积(PECVD)合成了高度掺杂锌的纳米晶 Ga2O3 薄膜(ZGO)。
● ZGO 薄膜表面呈现颗粒状结构,颗粒尺寸为 12–25 nm。
● 对 500 ppm 和 104 ppm H2 的响应分别为 2.99 和 24.5(在 500 °C)。
结 论
这项研究系统地探讨了纳米晶 Zn 掺杂 PECVD 制备的 Ga2O3 薄膜对多种环境及工业相关气体的气敏特性。薄膜中的 Zn 浓度为 1.64 at%,且均匀分布在纳米晶 Ga2O3 薄膜表面。Zn 掺杂纳米晶 Ga2O3 薄膜的表面呈现颗粒状结构,颗粒尺寸为 12–25 nm。样品具有高透光率,在 λ = 450 nm 时接近 90%。Zn 掺杂纳米晶 Ga2O3 薄膜在 CO、H2、NH3 和 NO2 气体作用下表现出高灵敏度和快速响应性能,其中对 H2 的响应最为显著。在最大响应温度 500 °C 下,对 500 ppm 和 104 ppm H2 的响应分别为 2.99 a.u. 和 24.5 a.u.,响应与恢复时间总和不超过 27.4 秒。与其他金属氧化物纳米晶薄膜气敏传感器相比,Zn 掺杂 Ga2O3 薄膜传感器在高温、颗粒尺寸较小条件下,对 CO、H2 和 NO2 的长期测试中气敏特性漂移较小。此外,样品在相对湿度 10–50% 范围内,其气敏特性受湿度影响较小。研究提出了 Zn 掺杂纳米晶 Ga2O3 薄膜的气敏机理,并表明此类传感器在检测可燃 H2 气体浓度、保障核能及氢能等极端条件下的安全应用方面具有潜在应用价值。

图 1. 纳米晶 Zn 掺杂 Ga2O3 (nc-ZGO) 薄膜在蓝宝石衬底上的 XRD 2θ 扫描图。

图 2. 纳米晶 ZGO 薄膜在蓝宝石衬底上的 SIMS 深度剖面图。

图 3. 纳米晶 ZGO 薄膜中 Ga、O 和 Zn 元素的 EDX 映射图。

图 4. 纳米晶 ZGO 薄膜表面高倍 SEM 图像。

图 5. 纳米晶 ZGO 薄膜的典型透射光谱图。插图显示吸收系数 α2 与光子能量的关系。

图 6. 纳米晶 Zn 掺杂 Ga2O3 (nc-ZGO) 薄膜对不同气体在高浓度 (a) 和低浓度 (b) 下的响应随温度变化的关系。

图 7. ZGO 薄膜在高浓度 (a) 和低浓度 (b) 气体下,响应时间 (tres) 与恢复时间 (trec) 总和随温度变化的关系。

图 8. nc-ZGO 薄膜在 T = 500 ℃ 下对不同气体浓度的响应依赖性。

图 9. nc-ZGO 薄膜在 T = 500 ℃ 下响应随测试时间变化的依赖性。

图 10. nc-ZGO 薄膜在 T = 500 ℃ 下循环暴露于 CO (a)、H2 (b)、NH3 (c)、NO2 (d) 气体时,电阻随时间的变化关系。
DOI:
doi.org/10.1016/j.rsurfi.2025.100633









