【会员论文】四川大学:新型β-Ga₂O₃肖特基势垒二极管的单粒子效应与辐射加固设计
日期:2025-09-24阅读:386
由四川大学的研究团队在学术期刊 Nuclear Instruments and Methods in Physics Research Section B: Beam Interactions with Materials and Atoms 发布了一篇名为 A novel single event effect radiation hardening design in β-Ga2O3 Schottky barrier diodes(新型 β-Ga2O3 肖特基势垒二极管的单粒子效应与辐射加固设计)的文章。
项目支持
本项目由四川大学遂宁市校市战略合作科技项目资助(Grant No. 2023CDSN-11)。
背 景
β-Ga2O3 是一种超宽禁带半导体材料,带隙为 4.6 eV-4.9 eV,其理论临界击穿场强超过 8 MV/cm,且具有优异的巴利加品质因数(BFOM),因而在高功率电子、射频应用和航空航天领域展现出巨大潜力。基于 β-Ga2O3 的代表性器件包括金属氧化物半导体场效应晶体管(MOSFET)和肖特基势垒二极管(SBD)。迄今为止,β-Ga2O3 材料的快速发展推动了相关功率器件的进步,实现了击穿电压(BV)和 BFOM 的突破。半导体器件的抗辐射性能对其制造和应用至关重要。典型的辐照效应,如总剂量效应(TID)和单粒子效应(SEE),会显著减低器件的电性能,辐照诱生深能级缺陷,甚至导致器件完全失效。β-Ga2O3 材料固有的低热导率使其在遭受粒子轰击时,难以快速消除局部产生的热量,导致晶格温度急剧升高,加剧了单粒子烧毁(SEB)的风险。传统的抗辐射加固技术,主要聚焦电场分布调控,但对减缓热量聚集效应的效果有限。因此,亟需一种能够同时解决电场分布和热量管理的综合加固设计。
主要内容
采用 Sentaurus TCAD 对四种 β-Ga2O3 肖特基势垒二极管(SBD)器件结构的单粒子效应(SEEs)进行了仿真。分析表明,偏压(VR)和线性能量传递(LET)的变化对SEEs具有显著影响。仿真结果强调:器件内部电场分布与晶格峰值温度(TMax)是决定 β-Ga2O3 SBD SEEs 的关键因素。结果表明,采用场板终端技术的 β-Ga2O3 SBD (FP-SBD)的击穿电压(BV)较无场板终端的传统器件结构(C-SBD)提升约 170.9%。与 FP-SBD 相比,经金刚石涂层处理的 FP-SBD(FP-SBD-D)峰值瞬态电流降低约 26.3%,TMax 降低 40.3%,有效解决了上述问题。并且,在重离子轰击后,FP-SBD-D 内部碰撞电离率和电流密度均显著下降。本研究表明,FP-SBD-D 的协同效应能有效减 SEEs 对 β-Ga2O3 SBDs 的影响,从而降低器件发生单粒子烧毁(SEB)的可能性。
结 论
本文提出了一种创新策略,通过集成场板终端技术与金刚石涂层,解决了 β-Ga2O3 SBD 中由 SEE 引起的导热难题。研究发现,随 VR 和 LET 的增大,最大瞬态电流和 TMax 均呈现上升趋势。此外,器件内部电场分布与晶格温度的相互作用是决定 SEB 是否发生的关键因素。TCAD 仿真结果表明,FP-SBD 可缓解电场分布并使 C-SBD 的 BV 值提升170.9%。在 VR=100V、LET=0.35 pC/μm 条件下,FP-SBD-D 相较 FP-SBD 的峰值瞬态电流降低约 26.3%,TMax 值降低 40.3%。该方法有效降低了内部碰撞电离率和电流密度,从而减轻了 SEE 对器件性能的影响,并最大限度地降低了 SEB 风险。所提出的加固技术为提高 β-Ga2O3 SBDs 的抗辐照能力提供了新策略。

图1. β-Ga2O3 SBD器件结构图:(a) C-SBD,(b) FP-SBD。

图2. (a)I-V 电学特性、(b)BV 特性、(c)肖特基结表面的电场分布图,以及(d)电场分布矢量仿真的结果。

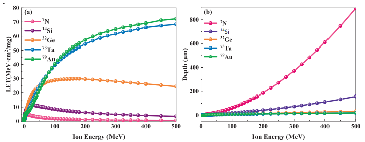
图3. (a) 不同类型重离子入射能量与LET的关系,以及 (b) 不同重离子入射深度随入射能量的变化。

图4. C-SBD 与 FP-SBD 两种结构的(a) 不同 VR 下,瞬态电流与 TMax 随时间变化曲线:(b) 不同 VR 下, TMax 变化曲线,(c)最大瞬态电流随 VR 变化关系,(d)TMax 随 VR 变化关系,(e) 当VR =100 V 时,不同 LET 值的瞬态电流变化,(f) 当VR =100 V 时,不同 LET 值的 TMax 变化,(g) 最大瞬态电流随 LET 变化的曲线,(h) TMax 随 LET 变化的曲线。

图5. C-SBD和FP-SBD两种器件在不同时间的碰撞电离率与电场强度分布:C-SBD(a) t = 1.04 × 10−9 s和(b) t = 2 × 10−9 s时C-SBD碰撞电离率分布;(c) t = 1.04 × 10−9 s和 (d) t = 2 × 10−9 s 时电场强度分布;FP-SBD(e) t = 1.04 × 10−9 s 和 (f) t = 2 × 10−9 s时碰撞电离率分;(g) t = 1.04 × 10−9 s 和 (h) t = 2 × 10−9 s时电场强度分布。

图6. 当VR =100 V,LET= 0.35 pC/μm时,C-SBD与FP-SBD不同时刻肖特基结表面电场分布图。

图7. 加固的器件结构:(a) C-SBD-D,(b) FP-SBD-D。

图8. 加固器件的仿真结果:(a) I-V 电学特性曲线,(b) BV 特性曲线,(c) 肖特基结表面电场分布,(d) 电场分布矢量图。

图9. C-SBD-D 与 FP-SBD-D 中瞬态电流与 TMax 随时间的变化:(a)不同 VR 下的瞬态电流,(b)不同 VR 下的 TMax , (c) 最大瞬态电流随 VR 变化的曲线,(d) TMax 随 VR 变化的曲线,(e) 不同 LET 值下瞬态电流的变化,(f) 不同 LET 值下 TMax 的变化,(g) 最大瞬态电流随 LET 变化的曲线,(h) TMax 随 LET 变化的曲线。

图10. t = 1.04 × 10−9 s 时 SBD 器件的总电流密度分布:(a)C-SBD 器件,(b)C-SBD-D 器件,(c)FP-SBD 器件,(d)FP-SBD-D 器件。

图11. t = 1.04 × 10−9 s时 SBD 器件的峰值晶格温度分布:(a)C-SBD 器件,(b)C-SBD-D器件,(c)FP-SBD 器件,(d)FPSBD-D 器件。

图12. SBD 器件在 t = 1.04 × 10−9 s时的碰撞电离分布:(a)C-SBD 器件,(b)C-SBD-D 器件,(c)FP-SBD 器件,(d)FP-SBD-D 器件。
DOI:
doi.org/10.1016/j.nimb.2025.165860











